背景簡介
高溫鈦合金由于在高溫下具有良好的力學性能和抗氧化性能,在航空航天工業中得到了廣泛的應用。航空發動機部件的失效問題一直受到高度關注,特別是在超高周疲勞(Very high cycle fatigue, VHCF)狀態下。例如,渦輪葉片和葉盤在服役過程中需要承受高溫和高速,其服役壽命往往超過109周次。本文研究的Ti60是一種近α型高溫鈦合金,通常用于生產航空發動機葉片、葉盤等。因此,有必要對高溫環境下Ti60鈦合金的超高周疲勞裂紋萌生機理和壽命預測進行研究。
成果介紹
(1)圖1顯示了Ti60鈦合金在室溫、300℃和500℃下的應力-壽命(S-N)曲線。結果表明Ti60鈦合金的疲勞壽命在三種溫度條件下都呈現單一的線性下降趨勢,同時隨著溫度升高,疲勞強度下降。在三種溫度下,Ti60鈦合金存在兩種典型的失效模式,即表面失效和次表面失效。疲勞失效模式在107次循環附近發生變化,隨著循環周次超過107,失效模式由表面裂紋萌生轉變為次表面裂紋萌生。

圖1 Ti60在常溫、高溫下超高周疲勞試驗的S-N曲線及失效模式
(2)圖2為三種溫度下表面裂紋萌生的典型斷口形貌。觀察發現,導致表面失效的機制包括有氧化物脫落機制和微表面缺陷機制兩種,隨著溫度升高,表面失效機制由表面微缺陷機制轉變為氧化物脫落機制。失效機制的轉變可能與溫度和外加應力幅大小有關。當溫度低于或等于300℃時,在較高的外加應力幅作用下,精加工引起的表面微缺陷會導致應力集中,從而引起表面失效(圖2(a-d));當溫度高于300℃時,試樣表面會形成一層較厚的脆性氧化層(圖2(e-f)),在較高的外加應力作用下,氧化層容易破裂和脫落,形成表面缺陷,從而導致表面失效。然而在低應力作用下,無論是室溫還是高溫,這兩種表面失效機制所需的驅動力都高于次表面起裂失效所需的驅動力,因此會在次表面產生裂紋。

圖2 不同溫度下表面失效的斷口形貌。(a)和(b)室溫(σa = 552.89 MPa, Nf = 2.3 × 106);(c)和(d)300℃(σa = 436.18 MPa, Nf = 5.0 × 106);(e)和(f)500℃(σa = 400.61 MPa, Nf = 5.5 × 105)
(3)圖3分別為三種溫度下次表面裂紋萌生的典型斷口形貌,斷裂面可以分為3個特征區,即I區(裂紋萌生區)、II區(裂紋穩定擴展區)和III區(裂紋快速擴展區)。區域I由多個連續小刻面組成,本文將其定義為超大刻面(Oversized facet, OF)。通過比較不同溫度下I區的形貌,可以發現次表面裂紋萌生的機制是相同的,都是以OF的形式起裂,表明溫度對次表面裂紋萌生機理沒有影響。
當αp團簇中的一個晶粒解理形成微裂紋時,微裂紋很容易進入相鄰晶粒,當相鄰晶粒足夠多時,微裂紋會直接形成主裂紋。從斷口表面看,主裂紋是由多個連續的小刻面組成的OF(圖4)。

圖3 不同溫度下次表面裂紋萌生的斷口形貌。(a)和(b)室溫(σa = 518.07 MPa, Nf = 3.4 × 108);(c)和(d)300℃(σa = 414.55 MPa, Nf = 4.0 × 107);(e)和(f)500℃(σa = 384.15 MPa, Nf = 2.5 × 107)

圖4 OF起裂機理示意圖。(a)αp晶粒解理;(b)αp團簇微裂紋擴展;(c)微裂紋擴展為主裂紋
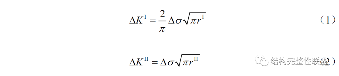
(4)提出了一種預測不同溫度下裂紋擴展的特征區大小及特征區尖端應力強度因子幅值ΔK的方法。采用軟件ImageJ測量不同溫度下試樣斷口表面I區和II區的尺寸,研究溫度對超高周疲勞性能的影響。在VHCF狀態下,通常用應力強度因子幅值ΔK來描述裂紋萌生和擴展。區域I裂紋尖端的應力強度因子幅值(即ΔKI)可視為裂紋穩定擴展的閾值,由公式(1)計算;區域II裂紋尖端的應力強度因子范圍(即ΔKII)可視為裂紋快速擴展的閾值,由公式(2)計算。

其中,Δσ應力幅,rI和rII分別為將區域I、區域II投影到垂直于最大主應力的平面上獲得的區域的等效半徑。
圖5(a)和(b)顯示了不同溫度下rI和rII隨疲勞壽命的變化。rI和rII隨疲勞壽命的變化規律相同,即等效半徑越大,試樣的疲勞壽命越長。圖5(c)和(d)顯示了ΔKI和ΔKII隨疲勞壽命的變化。結果表明,在相同溫度下,失效試樣的ΔKI和ΔKII幾乎不變,但其值會隨著溫度的升高而減小,這意味著裂紋萌生和擴展的閾值會隨溫度升高而降低。

圖5 (a)和(b)不同溫度下r與疲勞壽命的關系,(c)和(d)不同溫度下ΔK與疲勞壽命的關系。
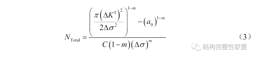
(5)基于OF裂紋萌生機理,提出了室溫下裂紋擴展的全壽命預測模型。將解理形成的極小裂紋(a0)消耗的壽命定義為Ni,其中a0是αp晶粒尺寸的1/10。根據Miller的定義(Fatigue Fract. Eng. M. 1987, 10, 75–91; Fatigue Fract. Eng. M. 1987, 10, 93–113.),認為從a0擴展到區域I為微觀結構短裂紋擴展(Microstructure short crack propagation, MSCP)階段,區域I擴展至區域II為物理短裂紋擴展(Physical short crack propagation, PSCP)階段,區域II擴展至區域III為長裂紋擴展(Long crack propagation, LCP)階段。因此,總壽命為NTotal = Ni + NMSCP + NPSCP + NLCP(圖6)。
由于室溫下Ti60鈦合金的PSCP階段壽命和LCP階段壽命大約只占總疲勞壽命的0.2%,并且本文中的a0很小,它所消耗的壽命Ni可以忽略不計,因此可以認為總壽命NTotal≈NMSCP。本文用下式(3)預測室溫下Ti60鈦合金在VHCF狀態下的疲勞壽命。

其中,其中C和m為材料參數。

圖6 基于裂紋擴展的全壽命示意圖
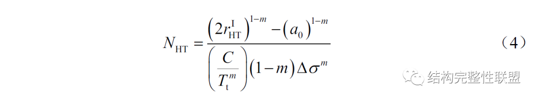
(6)提出了一種考慮材料性能退化的高溫預測模型,如式(4)。預測結果表明,該模型能較好地預測不同溫度下Ti60鈦合金的疲勞壽命,預測結果在3倍誤差帶以內(圖7)。


圖7 Ti60鈦合金試樣在不同溫度下的預測壽命
致謝
該研究工作得到了國家自然科學基金和國家科技重大專項資助。本文第一作者:陳超林,通訊作者:尚德廣(北京工業大學)。
關于中國結構完整性聯盟
中國結構完整性聯盟是一個非營利性學術組織,致力于結構完整性領域的學術交流、科學研究、工程應用和知識傳播,其歷史可追溯到2002年,最初的發起單位是幾所長期從事結構完整性特別是壓力容器及管道安全技術合作研究的高校和科研院所。2003年,在上海召開首屆國際斷裂力學(FM)學術研討會。隨著學科及其應用領域的拓寬,2010年,FM系列會議拓展為國際結構完整性學術研討會(International Symposium on Structural Integrity,ISSI),各成員單位輪流承辦。2012年11月,經中國機械工程學會材料分會、壓力容器分會和失效分析分會充分討論與協商,決定聯合發起“中國結構完整性聯盟”(China Structural Integrity Consortium, CSIC)。結構完整性是跨學科、跨領域的新興學科領域,研究不同尺度結構在復雜環境及載荷下的承載能力、壽命與可靠性,致力建立并優化產品全壽命過程的安全與可靠性評價標準與法規,服務于能源(油氣、電力、核能、可再生能源…)、航空航天與航海、微電子制造、化工、材料、冶金、環境、土木等工程領域。
號外:中國結構完整性聯盟公眾號小編招募長期開放!歡迎結構完整性領域有志青年發送個人簡介(含教育背景、研究方向等內容)至wechatpublic@china-sic.net加入我們。歡迎相關領域研究人員投稿至wechatpublic@china-sic.net。
相關鏈接
- 2023-05-13 國內外BT36/BT9/TC11/Ti55等高溫鈦合金材料的應用現狀與發展趨勢
- 2023-02-25 航空航天用Ti60高溫鈦合金鑄錠制備工藝
- 2021-10-11 航空用高溫鈦合金TC4/Ti60/TC17等牌號的應用及發展概述
- 2021-02-14 TC4/Ti31/Ti75船舶用鈦合金的優勢、現狀、發展趨勢
- 2021-01-04 航空用TC4/Ti60等鈦合金材料的發展與應用
- 2019-10-11 一種Ti60鈦合金等溫鍛造及熱處理方法與流程

